取消
参考答案暂无
解析:问题1:D
附:解题思路
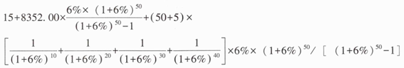
A方案全寿命周期年度费用
=15+8352.00×0.063+(50+5)×(0.558+0.312+0.174+0.097)×0.063=545.13(万元)
问题2:BC
附:解题思路
计算A方案的年度费用效率CEᴀ
(1)年度系统效率SEᴀ
SEᴀ=4000×20×360/10000=2880(万元)
(2)CEᴀ=SEᴀ/LCCᴀ=2880/545.13=5.28
计算B方案的年度费用效率CEB
(1)年度系统效率SEB
SEB=3000×15×360/10000=1620(万元)
(2)CEB=SEB/LCCB=1620/504.77=3.21
计算C方案的年度费用效率CEC
(1)年度系统效率SEC
SEC=3500×18×360/10000=2268万元
(2)CEc=SEc/LCCc=2268/542.98=4.18
由于A方案的费用效率最高,因此,应选择A方案。
问题3:
调整后的施工网络进度计划如题2-1图所示。
该网络进度计划的计算工期为19个月,不能满足合同要求。
调整方案:压缩H工作1个月。
因为,该网络进度计划的关键工作为:A、E、H。
应该压缩H工作总持续时间1个月才能按合同工期完成,并且可以与I工作同时完成,而H工作可压缩1个月且相应增加的费用最少。
问题4:
不亏本的前提下,设允许的最长工期为A天,则:
10900=9900+(A-500)×20+(A-470)×5
A=534(天)
按最可能工期组织施工的利润额为:
10900-9900-(500-485)×25-(485-470)×5=550(万元)
相应的成本利润率=550/(10900-550)=5.31%
你可能喜欢
简答题I土木建筑工程
某剪力墙结构住宅,剪力墙厚200mm,标准层建筑平面由A1户型和B1户型组成,详见题5-I-1图。客厅、餐厅、卧室楼板采用桁架混凝土叠合板,混凝土采用C30。
A1户型开间轴线尺寸为3600mm,进深轴线尺寸为4900mm,该楼板按单向板布置叠合板,叠合板的厚度取130mm,底板60mm,后浇叠合层70mm。
B1户型开间轴线尺寸为5700mm,进深轴线尺寸为4900mm,该楼板按双向板布置叠合板,叠合板的厚度取130mm,底板60mm,后浇叠合层70mm。
叠合板的支座条件详见题5-I-2图。根据设计计算,底板的布置详见题5-I-3图。叠合板的参数详见题5-I-1表。



叠合板、后浇混凝土的定额详见题5-I-2表。
问题:
1.根据施工图纸及技术参数,按现行国家标准《房屋建筑与装饰工程工程量计算标准》GB/T50854—2024的计算规则,在题5-I-3表中列式计算该住宅工程分部分项工程量。
2.已知叠合板的清单项目编码为010504004,后浇混凝土的清单项目编码为010504015,该工程的企业管理费按人工、机械费之和的25%计取,利润按人工、机械费之和的16%计取。按《建设工程工程量清单计价标准》GB/T50500—2024的要求,结合消耗量定额基价表,列式计算叠合楼板、叠合板后浇混凝土综合单价,并补充填写题5-I-4表。
3.填写完成题5-I-5表、题5-I-6表中叠合板与后浇混凝土的综合单价分析表。


4.假定某施工企业拟投标该工程,计算得出该工程的分部分项工程费为1275293.74元(其中,人工费、机具使用费占比为25%),措施项目费为219414.62元(其中,安全生产措施费按分部分项费用中人工费、机具费之和的1.5%计),其他项目费用为:暂列金额250000元,专业工程暂估价50000元,总承包服务费可按不含税专业工程暂估价的4%计取,计日工60工日,每工日综合单价按200元计。增值税税率均按9%计,补充完成该工程的投标报价汇总表(题5-I-7表)。

(上述各问题中提及的各项费用均不包含增值税可抵扣进项税额,所有计算结果保留两位小数)