某生产小组有35名工人,每人生产的产品数量相同。其中,有13人每件产品耗时8分钟,16人每件产品耗时10分钟,6人每件产品耗时5分钟。该小组-考呗网题库移动版
经济基础知识
首页 题库首页在线模考
取消

A.9
B. 8.4
C. 9.1
D. 8.6

参考答案B
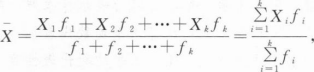
解析:加权算数平均数的计算公式其中,Xi为组中值,fi为各组的频数。根据题干,已知小组有35名工人,每人生产的产品数量相同,其中有13人每件产品耗时8分钟,16人每件产品耗时10分钟,6人每件产品耗时5分钟,则f1+f2+f3=13+16+6=35,将数据代入公式

你可能喜欢

A.汇率
B.利率
C.税率
D.杠杆率

延伸阅读