交通银行
首页
题库首页
在线模考
取消
取消
hot
热门搜索
一级建造师块
热
消防工程师块
热
初级会计师
证券从业
电气工程师
银行招聘
教师资格块
热
基金从业
更多热门>>
单选题
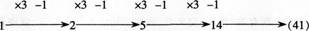
1,2,5,14,( )
A.30
B.31
C.41
D.61
参考答案
C
解析:
第一项的3倍减l等于第二项,依此类推。
点击查看答案
进入在线模考
你可能喜欢
单选题
2,-2,8,10,26,( )
A.34
B.42
C.44
D.52
点击查看答案
进入在线模考
单选题
7/2,5,6,8,10,( )
A.25/2
B.19/2
C.17
D.13
点击查看答案
进入在线模考
单选题
根据以下资料,回答题。
2012年,浙江省全年社会消费品零售总额13546亿元,比上年增长13.5%,扣除价格因素,实际增长11.4%。其中,城镇消费品零售额11409亿元,增长13.8%;乡村消费品零售额2137亿元,增长12.2%。分行业看,批发零售贸易业零售额12101亿元,增长13.3%;住宿餐饮业零售额1445亿元。增长15.6%。
年末全省有商品交易市场4297家,全年有形市场成交额1.58万亿元,比上年增长9%。年成交额超亿元的市场745个,其中,年交易额十至百亿元市场199家,超百亿元的市场31个。
按2011年的价格水平计算。2012年浙江省全年社会消费品零售总额比上年增长( )。
A.1360亿元
B.1413亿元
C.1464亿元
D.1518亿元
点击查看答案
进入在线模考
延伸阅读