有不少于5个的连续非零自然数的和为2613,则最小的自然数的最大值是(  )。 -考呗网题库移动版
交通银行
首页 题库首页在线模考
取消

A.67
B.78
C.433
D.521

参考答案C
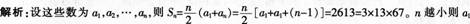
解析:

越大。由于n≥5,则n最小为6时得到a1。最大为433,选C。

你可能喜欢

延伸阅读