中国农业银行
首页
题库首页
在线模考
取消
取消
hot
热门搜索
一级建造师块
热
消防工程师块
热
初级会计师
证券从业
电气工程师
银行招聘
教师资格块
热
基金从业
更多热门>>
单选题
出租车司机李师傅有午睡习惯。一天,他睡午觉醒来,发现手机没电了,手表也停了,于是他只能打开收音机等待交通电台整点报时,如果他等待报时时间不超过15分钟,则这种可能性大小为( )。
参考答案
B
解析:
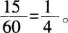
【答案】B。解析:设想一条时间轴,两个整点刻度间相差1小时。如图所示,李师傅醒来的时刻落在离右边刻度点15分钟的范围内可保证他等待报时的时间不超过15分钟。因此概率为
点击查看答案
进入在线模考
你可能喜欢
单选题
某人向单位圆形的靶子内投掷一个靶点,连续投掷4次,若恰有3次落在第一象限的位置(假设以靶心为坐标原点,水平和竖直方向分别为横、纵坐标轴建立平面直角坐标系),请你帮他计算一下这种可能性大小为( )。
点击查看答案
进入在线模考
单选题
甲、乙两个工程队修公路,甲工程队修500米后由乙工程队来修,由以往资料显示乙工程队的效率是甲工程队的两倍,乙工程队修600米的时间比甲工程队修500米的时间少20天,甲工程队的工作效率为( )米/天。
A.20
B.15
C.10
D.25
点击查看答案
进入在线模考
单选题
千禧锻造厂要制造一批一定比例的锡铁金属合金,第一次加入适量的金属铁后,此时金属锡的含量占总重量的4%,第二次加人同样多的金属铁后,金属锡的含量占总重量的3%,如果第三次再加入同样多的金属铁后,此时金属锡的含量占总重量的( )。
A.2.5%
B.2.4%
C.2.7%
D.2.8%
点击查看答案
进入在线模考
延伸阅读