2012年镇江市外商直接投资实际到位金额比上年同期增加多少亿美元? -考呗网题库移动版
中国建设银行
首页 题库首页在线模考
取消

A.4.O7
B.4.35
C.4.76
D.5.O2

参考答案A
解析:
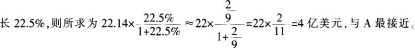
由表格第十行可知,2012年镇江市外商直接投资实际到位金额为22.14亿美元,同比增

你可能喜欢

A.2012年上海市进出口总额是南通市的l5倍多
B.2012年进口额同比增速高于出口额的有4个城市
C.2012年台州市外商直接投资实际到位金额同比增长最多
D.2011年泰州市出口额低于湖州市

延伸阅读