2011年1~5月份,住宅投资额占全国房地产开发投资额的比重为(  )。-考呗网题库移动版
行政职业能力测试
首页 题库首页在线模考
取消

A.66.4%
B.70.9%
C.68.2%
D.63.4%

参考答案B
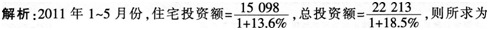
解析:
 

你可能喜欢

A.下降1.8%
B.增长1.8%
C.下降3.4%
D.增长3.4%

A.2012年1~5月份,住宅销售面积占总销售面积的比重较上年同期降低
B.2011年1~5月份,中部地区投资额不到4000亿元
C.2010年1~5月份,商品房销售额超过20000亿元
D.2012年1~5月份,住宅销售面积下降速度最快



延伸阅读