考呗网:一起考呗移动版

考呗网 > 教师资格 > 模拟试题 > 中学综合素质 >

2018教师资格证《中学综合素质》试题及答案7(3)

  一、单项选择题

  1.【答案】B。专家解析:老师这种恼羞成怒的反应是对学生的讽刺,伤害了小花的自尊。

  2.【答案】C。专家解析:全面发展的学生观指的是人的劳动能力的全面发展,即人的智力和体力的充分、统一的发展,而不是要求所有学生同步发展。

  3.【答案】D。专家解析:中学老师和小学老师要注意到每个阶段的学生有每个阶段学生的特点,不能一刀切,所以这体现的是身心发展规律的阶段性。

  4.【答案】A。专家解析:循循善诱的品德是针对教师和学生的关系而言的,与题于中教师与同事之问的交流没有关系。

  5.【答案】D。专家解析:这里容易混淆的可能是c选项,根据《中华人民共和国未成年人保护法》第三章第二十五条:对于在学校接受教育的有严重不良行为的未成年学生,学校和父母或者其他监护人应当互相配合加以管教;无力管教或者管教无效的,可以按照有关规定将其送专门学校继续接受教育。题目中小明同学虽冥顽不灵,但并没有明确指出其存在严重不良行为,因此C选项不选。而体罚侵犯了小明的生命健康权和人格尊严权。

  6.【答案】B。专家解析:以学生为广告宣传侵犯了学生的隐私权。

  7.【答案】B。专家解析:《中华人民共和国教育法》第三章第二十九条:规定学校及其他教育机构应当履行遵照国家有关规定收取费用并公开收费项目的义务。而非学校自行规定。故答案选B。

  8.【答案】B。专家解析:《中华人民共和国教师法》第八章第三十九条:教师对学校或者其他教育机构侵犯其合法权益的,或者对学校或者其他教育机构作出的处理不服的,可以向教育行政部门提出申诉,教育行政部门应当在接到申诉的三十日内,作出处理。

  91【答案】C。专家解析:《中华人民共和国义务教育法》第一章第十二条规定:父母或者其他法定监护人在非户籍所在地工作或者居住的适龄儿童、少年,在其父母或者其他法定监护人工作或者居住地接受义务教育的.当地人民政府应当为其提供平等接受义务教育的条件。

  10.【答案】D。专家解析:根据《中华人民共和国未成年人保护法》第一章第六条,保护未成年人,是国家机关、武装力量、政党、社会团体、企业事业组织、城乡基层群众性自治组织、未成年人的监护人和其他成年公民的共同责任。故A错误。“对侵犯未成年人合法权益的行为,任何组织和个人都有权予以劝阻、制止或者向有关部门提出检举或者控告。”因此D正确。

  11.【答案】B。专家解析:《中华人民共和国预防未成年人犯罪法》第三十五条:对未成年人送工读学校进行矫治和接受教育,应当由其父母或者其他监护人,或者原所在学校提出申请,经教育行政部门批准。

  12.【答案】C。专家解析:《学生伤害事故处理办法》第九条规定:因下列情形之一造成的学生伤害事故,学校应当依法承担相应的责任:学校组织学生参加教育教学活动或者校外活动,未对学生进行相应的安全教育.并未在可预见的范围内采取必要的安全措施的。

  13.【答案】C。专家解析:关爱学生是师德的灵魂,这就要求教师要关心爱护全体学生,尊重学生人格,平等公正对待学生。对学生严慈相济,做学生良师益友。保护学生安全,关心学生健康,维护学生权益。不讽刺、挖苦、歧视学生,不体罚或变相体罚学生。题目中严厉惩罚学生不属于关爱学生的基本要求。

  14.【答案】A。专家解析:廉洁从教要求教师坚守高尚情操,发扬奉献精神,自觉抵制社会不良风气影响。不利用职责之便牟取私利。陈老师对于家长的送礼予以拒绝体现了教师职业道德中的廉洁从教。

  15.【答案】A。专家解析:“师也者,教之以事而喻诸德也”指一名教师所教给学生的,不仅仅是专业上的知识,更要有优良的品德。体现了教师职业道德中的教书育人。

  16.【答案】C。专家解析:根据教师的工作特点,教师应有与其角色对应的行为方式以及道德素养。但现在部分教师不能按照教师应有的标准来要求自己,这是教师角色意识淡化的结果。

  17.【答案】B。专家解析:察举制和征辟制都是汉代选拔人才的方法,九品中正制,又称九品官人法,是魏晋南北朝时期重要的选官制度。三省六部制,是中国古代封建社会一套组织严密的中央官制。它确立于隋朝,此后一直沿用到清末。

  18.【答案】D。专家解析:我国四大传统节日包括:春节,清明,端午,中秋;四大祭祖节日包括:清明,中元,重阳,

  除夕。其中清明既是传统节日也是祭祖节日。

  19.【答案】B。专家解析:破釜沉舟是项羽早期与秦军作战时采用的置之死地而后生的方法,最终以少胜多战胜了秦军的故事而产生的成语,与垓下之围无关。

  20.【答案】C。专家解析:毕昇发明了活字印刷术;蔡伦发明了造纸术;我国最早的医书是《黄帝内经》;祖冲之是中国南北朝时期杰出的数学家、天文学家。

  21.【答案】D。专家解析:中国研制的全球卫星导航系统叫做北斗。

  22.【答案】C。专家解析:曹雪芹自己对《红楼梦》的评说:浮生着甚苦奔忙,盛席华筵终散场。悲喜千般同幻渺,古今一梦尽荒唐。漫言红袖啼痕重,更有情痴抱恨长。字字写来皆是血,十年辛苦不寻常。

  23.【答案】A。专家解析:《子夜》的作者是茅盾。

  24.【答案】D。专家解析:乌镇是江南水乡古镇,是中国首批十大历史文化名镇和中国魅力名镇之一;石湾镇被称为“南国陶都”:宏村被誉为“中国画里的乡村”,位于安徽省。

  25.【答案】A。专家解析:贝多芬的《第九交响曲》创造性地结合了海顿、莫扎特的古典交响曲风格。

  26.【答案】B。专家解析:按A1t的同时拖动鼠标,可实现选定文档中的矩形区域。

  27.【答案】C。专家解析:在幻灯片放映时,可右击选“指针选项”,选“笔型”及“颜色”后,可实现临时涂写的功能;“指针选项”/“屏幕”可实现黑屏或者白屏功能。

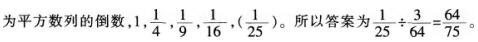
  28.【答案】B。专家解析:题干形式类似分式数列,但是第二项的3很突兀,比其他分数大很多,且非首项。说明即使通分后分子也不会呈现出什么有价值的规律。两项间相乘后分子分母多能约分。尝试作积发现相邻两项的积

2016下半年教师资格证考试《中学综合素质》专家命题卷及答案(1)

  29.【答案】D。专家解析:考查直言命题的负命题。题于是直言命题“所有的餐厅都有卫生许可证”的矛盾命题,即等值于“有的餐厅没有卫生许可证”,D项正确。A项无法由题干推出;根据题干并不能推出是否是少数没有卫生许可证,因此B、C两项错误。 (责任编辑:admin)