上海共2416人通过!2021年第十批一级建造师注册人员名单出炉→(最新发布)
时间:2021-03-25 来源:网络整理 作者:蚂蚁考试 点击:300次
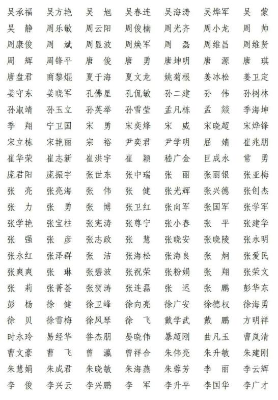
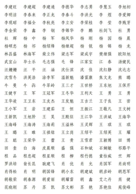
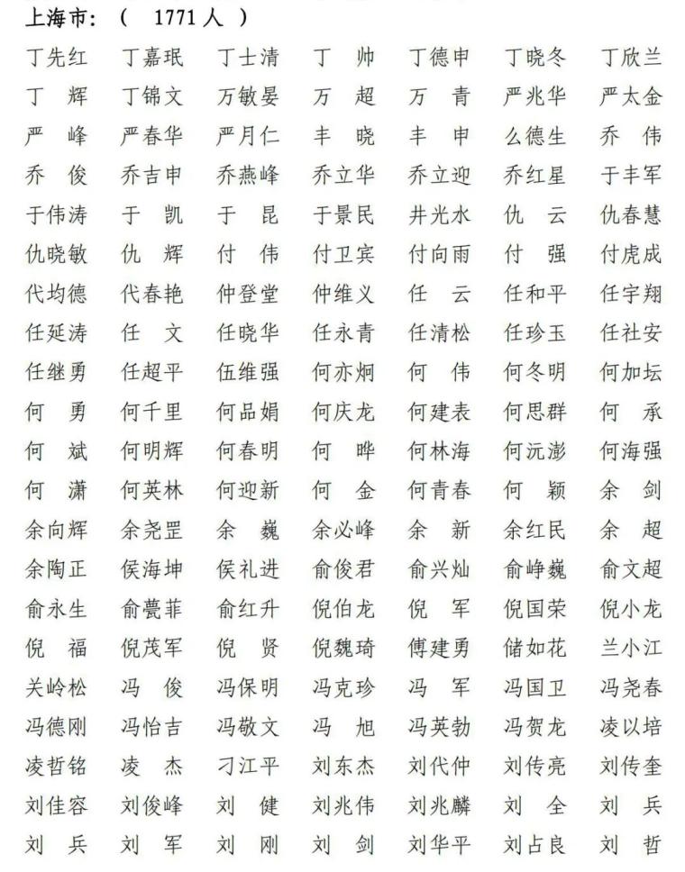
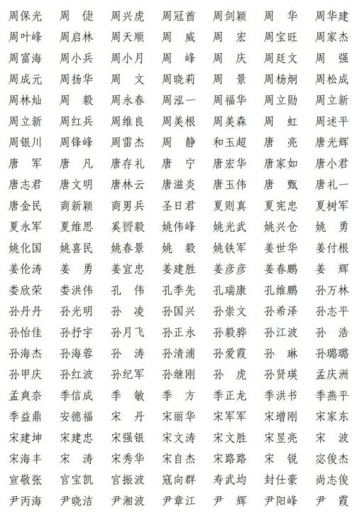
近日,住建部官网发布了2021年第十批一级建造师注册人员名单,上海有2416人准予注册。
根据《注册建造师管理规定》(建设部令第153号)、《一级建造师注册实施办法》(建市〔2007〕101号)和《关于建设部机关直接实施的行政许可事项有关规定和内容的公告》(建设部公告第278号)规定,经审核,于晓成等16062名申请一级建造师注册的人员符合注册条件,准予注册。未批准注册的人员,可通过国家政务服务平台“最新进度查询”栏目查询不予注册原因,并可自行打印《申请一级建造师注册不予许可告知书》。 特此公告。 附件:准予一级建造师注册人员名单(2021年第十批) 住房和城乡建设部 附:准予丁龙祥等583名上海地区一级建造师注册人员名单 初始注册(53人)
原标题:《上海共2416人通过!2021年第十批一级建造师注册人员名单出炉→》 (责任编辑:admin) |

















