上海共514人通过!2021年第八批一级建造师注册人员名单出炉(最新发布)
时间:2021-03-11 来源:网络整理 作者:网络 点击:300次
近日,住建部官网发布了2021年第八批一级建造师注册人员名单,上海有514人准予注册。
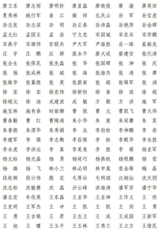
根据《注册建造师管理规定》(建设部令第153号)、《一级建造师注册实施办法》(建市〔2007〕101号)和《关于建设部机关直接实施的行政许可事项有关规定和内容的公告》(建设部公告第278号)规定,经审核,万建宏等3371名申请一级建造师注册的人员符合注册条件,准予注册。未批准注册的人员,可通过国家政务服务平台“最新进度查询”栏目查询不予注册原因,并可自行打印《申请一级建造师注册不予许可告知书》。 特此公告。 附件:准予一级建造师注册人员名单(2021年第八批) 住房和城乡建设部 附:准予于威力等514名上海地区一级建造师注册人员名单 初始注册(17人)
原标题:《上海共514人通过!2021年第八批一级建造师注册人员名单出炉》 (责任编辑:admin) |





