2017一级建造师工程经济复习密训押题辅导卷(4)
时间:2017-06-22 来源:未知 作者:admin 点击:300次
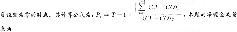
、单项选择题(共60题,每题1分。每题的备选项中,只有1个最符合题意) 1[单选题] 某项目计算期内的现金流量表的数据如下表所示,该项目静态投资回收期为()年。
A.3.07 B.3.O9 C.3.90 D.3.16 参考答案:B 【解析】本题考查的是静态投资回收期的计算。技术方案静态投资回收期是在不考虑资金时间价值的条件下,以技术方案的净收益回收其总投资(包括建设投资和流动资金)所需要的时间,一般以年为单位。当技术方案实施后各年的净收益不相同时,静态投资回收期可根据累计净现金流量求得,也就是在技术方案投资现金流量表中累计净现金流量由 ![]()
因此P1=4-1+100/1100=3.09年。故本题正确选项为B。 2[单选题] 下列关于技术方案资本金的说法,错误的是( )。 A.技术方案的资本金是指在技术方案投资构成中,由投资者认缴的出资额 B.投资者可按其出资的比例依法享有所有者权益,也可转让其出资 (责任编辑:admin) |
