考呗网:一起考呗移动版

考呗网 > 一级建造师 > 模拟试题 >

2017一级建造师工程经济复习密训押题辅导卷(2)(17)

  参考解析:本题考核的是存货周转次数的计算。存货周转次数=营业成本/存货。存货一般取期初存货和期末存货的平均值。本题中,存货周转次数=9000/[(5000+2000)+2]=2.57。

  44[单选题] 已知合同总额为l000万元,工程预付款为合同总额的25%,主要材料、构件所占比重为50%,则起扣点为( )万元。。

  A.500

  B.400

  C.200

  D.100

  参考答案:A

  参考解析:本题考核的是起扣点的计算。起扣点的计算公式:起扣点=承包工程合同总额-工程预付款数额/主要材料及构件所占比重。本题的计算过程为:起扣点=1000-1000×25%/50%=500万元。

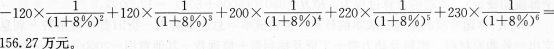
  45[单选题] 已知某项目的净现金流量见下表。若i=8%,则该项目的财务净现值为( )万元。


1年份 
l
1净现金流量(万元)  -300  -l20  120  200  220  230 

  A.117.00

  B.134.16

  C.156.27

  D.350.00

  参考答案:C

  参考解析:

(责任编辑:admin)