2017一级建造师工程经济复习密训押题辅导卷(1)(6)
时间:2017-06-22 来源:未知 作者:admin 点击:300次
|
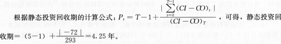
B.1570 C.7640 D.8600 参考答案:C 参考解析:本题考核的是合同收入的确认。以前年度开工本年完工的建造合同。当期计确认的合同收人,等于合同总收入扣除以前会计年度累计已确认的合同收入后的余额。当确认的合同收入=8600-960=7640万元。 20[单选题] 某施工企业按照2/10、n/30的条件购人货物20万元,如果该施工企业放弃折扣,在10d后(不超过30d)付款,该企业放弃现金折扣的成本为( )。 A.36.7% B.35.6% C.34.7% D.37.5% 参考答案:A 参考解析:本题考核的是放弃现金折扣成本的计算。根据计算公式:放弃现金折扣成本一 21[单选题] 投资各方现金流量表是分别从技术方案各个投资者的角度出发,以投资者的出资额作为计算的基础,用以计算技术方案投资各方的( )。 A.静态投资回收期 B.净现值 C.偿债备付率 D.财务内部收益率 参考答案:D 参考解析:本题考核的是投资各方现金流量表的概念。投资各方现金流量表是分别从技术方案各个投资者的角度出发,以投资者的出资额作为计算的基础,用以计算技术方案投资各方财务内部收益率。 22[单选题] 某项目建设期1年,建设投资800万元。第2年末净现金流量为220万元,第3年为242万元,第4年为266万元,第5年为293万元,该项目静态投资回收期为( )年。 A.4.OO B.4.25 C.4.67 D.5.00 参考答案:B 参考解析:本题考核的是静态投资回收期的计算。本题中累计净现金流量见下表:
![]()
23[单选题] 已知某项目的年总成本费用为l000万元,年销售费用、管理费用合计为总成本费用的20G,年修理费为l00万元,年折旧费为60万元,年利息支出为50万元,则该项目的年经营成本为( )万元。 (责任编辑:admin) |
